
If you want to save time and money on your marriage dissolution, you have likely considered a do it yourself divorce. What it means is that you will be finding and filing your paperwork without the help of an attorney, as well as representing yourself in court. There are various pitfalls that might await if you go for a DIY option. For example, a court would still expect you to be familiar with legal processes and norms, and there will be no excuses if you fill out the legal forms incorrectly. However, if you approach the DIY marriage dissolution responsibly and review your options carefully, success will be imminent. Besides, with the wide availability of DIY divorce kits online, getting through a divorce without a lawyer has become easier than it has ever been before!
Table of Contents
TogglePreparing a Do-It-Yourself Divorce Papers
The first thing that you need to take care of is divorce documents. When it comes to uncontested divorce in GA, forms that you will be required to file depend on the county where you reside. While there is paperwork that is mandatory almost everywhere in Georgia, there are county-specific forms that you might have to file additionally.
Moreover, the types of documents needed to file for divorce in your case will depend on your family and financial situation. The amount of paperwork you have to deal with will be above average if you have children, real estate, debt, or mutual assets. Besides, filling out marriage dissolution forms on your own is not a piece of cake. They are riddled with legal terminology, and it might be hard to understand the logic behind some of the questions.
How to Fill Out Georgia Divorce Forms?

If you are planning on filling out divorce papers for your marriage dissolution on your own, do not rush this process:
- Have your and your spouse’s SNN and employment information readily available to you.
- Get your and your spouse’s driver’s license number and vehicle information.
Read each question carefully and ensure your unearned income (dividends, trust income, and rental earnings) is fully disclosed, as the 2026 standards require a more expansive definition of available financial resources.
- Do not guess information about your spouse – ask them to provide it.
- Date and sign the documents only when you are ready to file them.
You can check what kind of information is required and what type of questions you will have to answer by reviewing the documents for a DIY divorce in GA provided below.
Filling out Complaint for Divorce Form
Complaint for Divorce is the main form that has to be filed when seeking marriage dissolution. It informs the court that you would like to start the dissolution process and what basis you are initiating it on. There are two types of Complaints – one for spouses with children and one for those without. Both types would require you to indicate:
- State and county of your and your spouse’s residence
- Dates of marriage and separation
If you have children, you will also need to:
- Indicate their full names, dates of birth, and sex.
- Outline the custody arrangements.
- Provide information concerning other court actions your kids are involved in.
- Mention if there are any other people who might have custody claims.

Additionally, it will be necessary to confirm that you have entered a settlement agreement, which will be outlined in another form.
Filling Out a Domestic Relations Financial Affidavits Form
Domestic Relations Financial Affidavit is the document that each of the spouses has to fill out. This is one of the most elaborate and hard-to-fill-out forms in the whole DIY package, as the amount of information required here is pretty significant.
Each of the spouses must provide a Verified Financial Affidavit that includes at least 12 months of pay stubs and 3 years of tax returns, specifically detailing all unearned income as required by the 2026 expanded disclosure rules.
As you will have to swear that all the information provided in the Affidavit is true, it is crucial to be thorough and make sure you have remembered to include all the relevant financial details.

Filling out a Parenting Plan
If you think that you and your spouse have discussed everything you possibly could regarding custody of your kids, the Parenting Plan will likely prove your wrong. It is a very elaborate document that covers far more than who children will live with or which parent will be responsible for making daily decisions for them.
A lot of questions will also revolve around:
- Transportation of kids.
- Disagreement resolution plans.
- Restrictions and supervision.
- Acceptable means of communication with children.
- Start and end dates of both regular and holiday visitations.
Holiday and summer schedules, ensuring the total overnight count aligns exactly with the numbers used in your 2026 Child Support Worksheet to avoid a math conflict that could cause a judge to reject the plan.

And other details related to childcare. Besides, this plan does not cover all the potential parenting scenarios, and you need to figure out which additional forms might be required depending on the choices that you make in the current document.
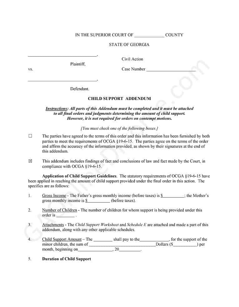
Filling out a Child Support Addendum
If you are a parent, another form that the court might require you to file is a Child Support Addendum. It covers:
- Your and your spouse’s monthly income.
- Number of kids who will receive child support under court’s order.
- Child support duration and amount.
- Income deduction order pertaining to child support payments.
- Mandatory application of the Schedule C Parenting Time Adjustment, which calculates support based on the precise number of overnights each parent has with the children.
- Insurance coverage and uninsured expenses.
Parenting time duration calculated as overnights, which must be entered into the new Schedule C of the child support worksheet to trigger the mandatory adjustment.
Social Security benefits and Veteran’s Affairs Disability Credits, which as of January 1, 2026, can specifically offset a noncustodial parent’s obligation if paid for the benefit of the child.
Ensure your calculations use the official 2026 Georgia Child Support Commission calculator, as ‘approximations’ are no longer permitted under the current mandatory formula laws.

Filling out a Settlement Agreement
Just like the Complaint, Settlement Agreement comes in two types: for spouses without kids and for those who have them. The sections they have in common are:
- Alimony (payments made for spousal maintenance)
- Division of debts (with names of creditors and info on who will be making payments)
- Property division (with indications of which jointly owned property goes to either of the spouses)
- Restoration of maiden name (not obligatory and cannot be enforced by one spouse on the other one)
The document for spouses who have kids also covers:
- Personal information of all children
- Custody (with the description of how it will be shared, if it would)
- Visitation schedule (whether described in the form or attached to it)
Child support calculated using the 2026 standardized worksheet, which now includes mandatory formulas for parenting time and low-income adjustments.
- Payment method (depending on the Income Deduction Order if any)
- Changes in health insurance coverage
Note that this document is your only chance to ask for alimony. If you refuse it at this point, there will be no chance to request it again.

Filling out a Divorce Verification Form
The Divorce Verification Form is not the one that requires much filling out. The main purpose of it is to confirm for the court that everything you outlined in the Complaint is true. Therefore, you will have to sign it in front of a notary public, and pre-fill it with your and your spouse’s personal information.

Filling out a Summons Form
Summons is the form where you inform your spouse that you have filed a Complaint with the court. The only parts that require filling out in it are fields with your and your ex’s names. One of the common questions divorcees have is how to file a summons form for divorce in Georgia. The answer is – you need to do it initially when submitting the Complaint and after your spouse signs it upon the service.

Filling out an Acknowledgement of Service Form
An Acknowledgement is a paper that shows the court that your spouse has been informed about the commencement of the marriage dissolution process. Much like the Summons, the Acknowledgement document requires you to put in basic personal information. However, it is crucial to remember that it needs to be signed in the presence of a notary.

Filling out a Notice of Complaint for Divorce
If you cannot find your spouse to serve them, and can prove to the court that your search was diligent, you might be allowed to make a service by publication. In this case, it would be necessary to publish your Notice in a few newspapers within the county. The details you will have to provide in the document are:
- Your spouse’s name.
- Judge’s name.
- Your name and address.
- Date when the order allowing you to serve your spouse by publication was issued.
Depending on the county where you are planning to file in, there might be additional information required.

Filling out an Answer and Counterclaim for Divorce Form
Before you proceed with filling out the Answer form, make sure it is applicable to your case. This document contains the response that your spouse (if they are the defendant in your case) provide to the Complaint. In the Answer, they need to confirm, deny, state that they do not possess enough information on, or point out the inaccuracies in the allegations made in each of the paragraphs of the Complaint individually, meaning that they will have to do it at least 25 times.
Additionally, they have to indicate:
- Other defenses, if any.
- Jurisdiction information.
- Dates of marriage and separation.
- If there is a settlement agreement in place.
- Detailed information on marital property and debts.
- Maiden name restoration request, if any.
- Grounds for marriage dissolution.
When it comes to joint property and debts, it would be necessary to list them all either in the document or on additional attachments.
For instance, your spouse will have to fill in the details regarding:
- Furniture
- Motor vehicles
- Bank accounts
- Pensions
- Investments
- Debt balance and creditor info
- Addresses of marital home and other real estate
Finally, it will be crucial for them to mark what kind of relief they are seeking from the court.

Filling out a Motion for Judgment on the Pleadings
In certain scenarios, you might get a chance to avoid the hearing, and this is when you need to file a Motion for Judgment, pre-filled with your and your ex’s personal info as well as the address of the filing party. The availability of this option varies in counties and is susceptible to change. Therefore, even if your case meets the requirements described in the form, the latter will not necessarily be accepted by the specific court.

Filling out a Rule Nisi Form
In Georgia Superior Court, form “Rule Nisi” serves to notify the other party (your spouse) about a hearing. Depending on the county, it might be a notice of temporary or final hearing, and the filling out process will vary. If there are issues in your marriage that need to be resolved before the final hearing takes place, this form will likely be required. However, a lot depends on the court where you are filing, as well as your personal case.

Filling out a Certificate of Service Form
If your ex does not want to waive (refuse) the service of process for some reason, it will be necessary to serve them with all paperwork you file with the court. Each time you send the copies of the forms to your spouse, the court should get a proof that you have done so, and this is what you need to use the Certificate of Service form for. In this document, you will be required to indicate when, how, and what types of papers you have provided to your spouse.
Also, if your ex refuses to sign the Acknowledgment of Service, you will likely ask a sheriff or process server to give the copies of the initial documents filed with the court to your spouse. As a rule, the sheriff will provide you with the proof of service confirming that they served your spouse.

Filling out a State of Georgia Report of Divorce, Annulment, or Dissolution of Marriage Form
The report of divorce form in Georgia is one of the mandatory documents for filing. The purpose of this paper is to notify the Department of Public Health about the court’s decision to grant a marriage dissolution to a couple. It will be necessary to pre-fill this form out with your and your spouse’s:
- Full names
- Dates of birth
- Residency information
- Number of marriages
- Number of children, if any
Although this document is a notification of the ending of the proceedings, it needs to be filed along with other dissolution of marriage forms in Georgia Superior Court.

Filing for Divorce Without an Attorney

If you and your spouse are in complete agreement regarding custody and asset division, you don’t need a lawyer to get a divorce. Your marriage dissolution will be uncontested, which means that the whole process will be simplified, and you will be able to end your marriage within the shortest time that divorce laws in GA allow.
The hardest part of getting divorced without a lawyer would be finding relevant forms and filling them out. If you do not feel confident doing it on your own, you can always get affordable help online. This way, you will not have to spend weeks on the paperwork and will be sure that the court is going to accept it. Besides, you will receive instructions on how to file divorce papers and will be able to navigate the process easily.
Create a free account to check your eligibility for divorce. Preparing legal forms is never easy, but we can help you on every step of the process.
Steps to Getting a Divorce Without a Lawyer
To file for divorce in Georgia and do it properly without having to involve lawyers, do the following:
- Check the residency requirements.
- A person filing for marriage dissolution should have lived in GA for at least 6 months. If neither you nor your ex meets the residency requirements, you might want to consider waiting or filing in the state where either of you meets such requirements.
- Make sure the court has jurisdiction over your spouse and children.
If your spouse lives in another state, it will influence the process only if you are asking for alimony or division of assets located out of Georgia. Also, it will have an effect on the proceedings if you have children. Filing in kids’ “home state” would be an ideal scenario as the local court would be able to make custody-related decisions.
Determine which forms are suitable for your case.
There are plenty of documents you should go through to pick the right ones for your marriage dissolution. A lot will depend on whether you have kids, property, debts, and your financial situation in general. Note that certain forms are mandatory and should be filed regardless of whether they seem suitable.
Make sure the forms you have found are up-to-date.
If you have downloaded free paperwork to file for divorce from the Internet, it is crucial to do more research on it and see when it was last updated. Outdated documents will not be accepted by the court, and you will have to search for new forms and fill them out all over again. If you would like to have a court-approval guarantee, ordering a package of legal paperwork from a trusted service would be a good idea.
Fill out and sign the paperwork.
Research any term or phrase that does not look familiar to understand what is asked of you in each form. Also, be sure to read the questions carefully to answer correctly and fill out all the mandatory fields. Do not sign the papers right away – check if you need to do it in front of the notary.
If you have children, sign up for a mandatory parental education seminar.
This is a state requirement for parents, and both you and your spouse will have to attend it. It is likely that it will not be necessary to do it at the same time, and you are welcome to check if there are online options available.
Where to File for Divorce in Georgia?
To file for divorce, you need to go to the Superior Court of the county where you reside. If you do not meet the residency requirements in GA, file the papers with the clerk of the court where your spouse resides. It might be best to contact the clerk before you visit the court to ask them about the exact filing fee required and whether the court works as usual. Depending on the county, you may expect the filing fee to be around $200-220, but it is essential to remember that there might be other court costs that you will also have to cover. If you receive certain forms of governmental support, the filing fee may be waived with a fee waiver; additionally, the court will now automatically apply a mandatory low-income adjustment to your child support if your income falls below the 2026 statutory threshold.
Check our county-specific information for finding a divorce courts in your county.
Serving Your Spouse with Divorce Papers

After you file the paperwork with the court, it is mandatory that you notify your spouse about it. To do it, you need to provide them with the copies of documents that a court clerk returned to you.
Can I Serve Divorce Papers Myself?
Yes, according to Georgia divorce law, you can. In this case, your spouse has to sign an Acknowledgement of Service form and Summons in the presence of a notary public, and the signed documents have to be returned to the clerk.
How Are Divorce Papers Served if I Cannot Do It Myself?
A person who delivers divorce papers should be specifically authorized to do so by law or court. Therefore, it can be either a sheriff or a professional process server. You can request either of them to serve your spouse for an extra fee, which will typically range from $60 to $80, depending on the urgency and the location of your ex.
What About Serving Divorce Papers in Another State?
There are companies and independent process servers who can help you deliver the documents to your spouse if they are out of state. This will likely cost you more and might require a bit more time, so be sure to make the serving arrangements right after you file the paperwork. Note that your spouse will have to sign an Acknowledgement where they confirm that:
- Georgia Superior Court will have jurisdiction over their case.
- They choose to waive a right to get a hearing in their local court.
It is best to make sure your spouse agrees to that before you even start filling out the papers.
Resources
If there are questions that you did not find answers to on this page, it is likely that you will find them here. While this is a credible source, please note that it is best to get information regarding the latest state and court updates from the clerk.
If you and your spouse have been covered by the insurance through the employer, and the situation is going to change as you are divorcing, it might be useful to review information about the coverage on the Team Georgia website.

Jay Riley has spent 8+ years researching U.S. divorce procedures, court filing requirements, and state-specific family law processes. Content is based on Georgia law, including publicly available statutes, Superior Court divorce procedures, and official court resources.



